国际肝病 发表时间:2024/12/1 19:04:29
编者按
在刚刚结束不久的美国肝病研究学会年会上,报告了多项关于HBV相关肝细胞癌(HBV-HCC)的研究。其中,韩国Won-Mook Choi等报道的一项研究深入探讨了HBV-HCC根治性切除术后复发与病毒复制活性之间的关系,发现肝硬化患者的术后复发风险受病毒复制活性影响显著。另有一项研究显示,高灵敏度HBcrAg测定可以预测HBeAg阴性慢性乙型肝炎(CHB)患者的HCC风险和HBsAg清除。本刊特邀请河北医科大学第三医院南月敏教授针对该两项研究进行了精彩点评。
研究一 HBV相关肝癌根治性切除术后复发与病毒复制活性的关系
研究背景
关于基线病毒复制活性对HBV-HCC根治性切除后肝内复发的影响,目前知之甚少。
研究方法
本研究分析了2010-2018年间接受根治性切除手术并接受恩替卡韦或替诺福韦治疗的1932例极早期或早期HBV相关HCC患者队列。根据患者是否在切除时已接受抗病毒治疗并达到病毒抑制(Tx-maintained组)或由于检测到HBV DNA而开始抗病毒治疗(Tx-naïve组)进行分组。我们比较了这两组患者以及基于基线病毒复制活性的肝内HCC复发率。
研究结果
在中位随访4.9年期间,876例(45.3%)患者出现了肝内HCC复发。在多因素分析中,Tx-maintained组和Tx-naïve组的肝内复发风险相似(HR=1.09;95%CI:0.94-1.27;P=0.23)。然而,当根据肝硬化情况分层,在非肝硬化患者中则无此差异(HR,0.87;95%CI:0.68-1.12;P=0.27,图1A);但在肝硬化患者中,Tx-naïve组的肝内复发风险高于Tx-maintained组(HR=1.23;95%CI:1.01-1.48;P=0.04,图1B)。

图1. 根据基线HBV DNA水平分层的HBV-HCC患者手术切除后,Tx-maintained组和Tx-naïve组肝内复发风险比较
(A)非肝硬化患者和(B)肝硬化患者
有趣的是,在非肝硬化Tx-naïve患者中,观察到基线HBV DNA水平与肝内复发风险之间存在抛物线关系,其中HBV DNA水平在(5–6)log10 IU/mL之间的患者与Tx-maintained组相比,肝内复发风险显著更高(HR=1.53;95%CI:1.04-2.26;P=0.03)。
研究结论
HBV复制活性与肝内HCC复发风险之间的相关性因肝硬化情况而异,这为优化抗病毒治疗时机和术后监测策略提供了重要参考。
专家点评

南月敏教授
迄今已有多项研究证实,HBV复制活性与HCC发生及根治术后复发有关。曾有研究报道,HBV高病毒载量与HCC微环境及微血管侵犯(MVI)有关,为HCC根治性治疗后复发的主要危险因素。HBV DNA≥100 IU/mL复发风险为< 100 IU/mL者的2.943倍,根治性治疗前抗病毒治疗≥ 3 个月患者的MVI风险降低40%,HCC复发风险降低 25%,抗病毒治疗≥1年复发风险降低45%~66%。
该研究通过临床队列研究观察极早期及早期HBV-HCC根治术后复发与抗病毒治疗的关系,并证实肝硬化患者中术后起始治疗组肝内复发风险高于术前抗病毒治疗组,非肝硬化组HBV DNA(5-6)log10 IU/mL人群肝内复发风险显著增高。因此,对于慢性HBV患者肝纤维化程度的精准诊断,结合病毒载量精准检测,可预测HCC根治术后复发风险。
肝硬化是HCC发生的重要病理基础,亦为HCC复发的高危因素,及早抗病毒治疗可减少疾病的进展,亦可降低根治术后的复发风险。综合上述研究发现,对于HBV-HCC,抗病毒治疗贯穿始终,及早抗病毒治疗可改善肝脏内环境,降低HCC发生。及时发现HCC患者,长期的抗病毒治疗及获得病毒性应答是防止HCC复发的重要措施。
研究二 高灵敏度HBcrAg检测可预测HBeAg阴性慢性乙型肝炎患者的肝细胞癌风险和HBsAg清除
研究背景
血清乙型肝炎核心相关抗原(HBcrAg)已被认为是肝内共价闭合环状DNA(cccDNA)和转录活性的替代标志物。近期,一种用于测量HBcrAg水平的高灵敏度检测(iTACT-HBcrAg)方法开发成功并投入使用。然而,其临床实用性仍不明确。在本研究中,我们使用iTACT-HBcrAg检测评估了HBeAg阴性慢性乙型肝炎(CHB)患者的部分结局。
研究方法
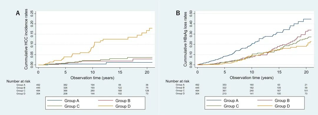
本研究纳入了1735例未接受抗病毒治疗的HBeAg阴性非肝硬化CHB患者,这些患者至少随访了1年,且其基线HBcrAg水平可通过iTACT-HBcrAg检测测量。iTACT-HBcrAg检测的下限为2.1 log U/mL。受试者被分为以下4组:A组:< 2.1 log U/mL,B组:2.1-2.9 log U/mL,C组:3.0-3.9 log U/mL,D组:≥ 4.0 log U/mL。根据AASLD指南,将CHB阶段确定为非活动携带者(IC)、活动期(IA)和灰区(GZ)。我们评估的结局是根据iTACT-HBcrAg水平确定的HCC发生率和HBsAg清除率(< 0.05 IU/mL)。
研究结果
在整个队列中,492例患者(28.4%)被归入A组,445例(25.6%)归入B组,494例(29.5%)归入C组,304例(17.5%)归入D组。根据CHB阶段,IC、GZ和IA的基线iTACT-HBcrAg水平(中位数)分别为2.2 log U/mL、3.1 log U/mL和4.3 log U/mL,显示随着疾病进展,HBcrAg水平呈升高趋势(P<0.001)。
B、C和D组的HCC发生率分别为0.6、1.6、1.8和8.6/1000人年,A组的HCC发生率极低(P<0.001)(图2A)。经CHB阶段和基线因素校正的多因素分析显示,与D组相比,C、B和A组的HCC风险比分别为0.32、0.21和0.05。A组似乎是一个HCC风险极低的人群。

图2. A、B、C和D组HCC年发病率(A)和HBsAg年清除率(B)
A、B、C和D组的HBsAg清除率分别为23.3/1000人年、14.0/1000人年、12.6/1000人年和12.3/1000人年,A组的HBsAg清除率高于其他三组(P<0.001)(图2B)。经HBsAg水平、CHB阶段和基线因素校正的多因素分析显示,与D组相比,C、B和A组的HBsAg清除风险比分别为1.43、1.56和2.67。在HBsAg≥1000 IU/mL的子组中,A组患者也更可能实现HBsAg清除(P=0.012)。
研究结论
在HBeAg阴性CHB患者中,通过iTACT-HBcrAg方法检测不到HBcrAg的患者不仅肝细胞癌风险低,而且更可能实现HBsAg清除。高灵敏度HBcrAg检测对于预测HBeAg阴性CHB患者的结局具有实用价值。
专家点评

南月敏教授
HCC是慢性HBV感染人群进展的严重并发症,其风险预测是及时防控的重要策略。近年来,新型HBV复制标志物的精准检测价值逐渐被阐明。HBcrAg由HBV前C/C区编码的HBcAg、HBeAg与P22cr3种蛋白质组成,从HBV- cccDNA前基因组(pg)和前核心RNA翻译而来,可反映HBVcccDNA复制活跃程度,亦与慢性乙型肝炎的临床治愈有关。
iTACT-HBcrAg为一种全自动、新型高灵敏度HBcrAg测定技术,该研究应用该技术检测HBcrAg,依此评估HBeAg 阴性慢性乙型肝炎患者HBcrAg与HCC发生风险、HBsAg清除率的关系,以寻求新型HCC预警和功能性治愈(实现HBsAg清除)预测指标,为慢性乙型肝炎治疗效果及预后提供更加精准的病毒学预测标志物。结果证实,iTACT-HBcrAg与肝脏炎症活动及疾病进展有关,并可预测HBsAg年清除率及HCC发生风险,为慢性HBV感染人群实现临床治愈、预警及防控HCC发生提供了新思路。
参考文献:
1. Won-Mook Choi, et al. Association between viral replication activity and recurrence of HBV-associated hepatocellular carcinoma after curative resection. AASLD 2024 No.0019
2. Tetsuya Hosaka, et al. Highly sensitive hepatitis B core-related antigen (HBcrAg) measurements can predict hepatocellular carcinoma (HCC) risk and hepatitis B surface antigen (HBsAg) loss in HBeAg-negative chronic hepatitis B patients. AASLD 2024 No.0090
(来源:《国际肝病》编辑部)

声明:本文仅供医疗卫生专业人士了解最新医药资讯参考使用,不代表本平台观点。该信息不能以任何方式取代专业的医疗指导,也不应被视为诊疗建议,如果该信息被用于资讯以外的目的,本站及作者不承担相关责任。