国际肝病 发表时间:2025/12/8 9:04:14
编者按
失代偿期肝硬化患者常面临营养不良、衰弱等多重健康挑战,预后评估一直是临床难题。西安医学院第一附属医院孙超教授团队近期发表于Clinical Nutrition的研究,首次系统揭示了生长分化因子-15(GDF-15)在失代偿期肝硬化患者中的多重临床价值,验证了GDF-15与代谢紊乱、免疫功能失调的关联,为临床实践提供了重要参考。这一发现为肝硬化患者的预后评估提供了新的生物标志物,尤其在高危人群的早期识别和个体化干预中具有潜在应用前景。未来,GDF-15或可成为肝硬化综合管理中的补充工具,助力优化治疗策略,改善患者长期预后。

研究图片摘要
(doi:10.1016/j.clnu.2025.11.009)
生长分化因子-15(GDF-15)属于转化生长因子-β(TGF-β)超家族,由多种细胞广泛表达,并在胎盘、肠道、肾脏及肝脏等多个组织中含量丰富[1]。在健康个体中,GDF-15的水平相对较低,约为0.2-1.2 ng/mL。作为一种应激性细胞因子,GDF-15会对各种病理和生理刺激产生反应,如衰老、妊娠、肥胖及多种疾病状态(癌症、晚期心血管疾病、慢性肾脏疾病等)。研究显示,GDF-15与老年住院患者的衰弱、肌肉减少症、食欲不振、躯体功能下降及营养不良均显著相关;其水平升高意味着恶病质、厌食以及血流动力学与神经体液稳态失衡的风险增高,最终导致不良结局[2]。鉴于其在代谢、食欲与能量平衡中的核心调控作用,GDF-15有潜力成为评估多种极度消耗性疾病/状态的生物标志物。
失代偿期肝硬化患者常伴随一系列并发症,包括营养不良、衰弱及恶病质等。研究表明,肝硬化患者,尤其是合并衰弱人群,其循环GDF-15水平往往升高。实验证据表明,GDF-15可能通过直接抑制食欲并促进分解代谢发挥作用,其厌食效应主要由其在后脑的特异性受体——胶质细胞系源性神经营养因子受体α样蛋白(GFRAL)介导。然而,目前关于GDF-15在肝硬化患者预后、营养不良及健康缺陷中的作用仍不明确。填补上述知识空缺不仅有助于揭示其病生理机制,也对探索肝硬化的新型生物标志物、改善预后评估具有重要价值。因此,本研究旨在系统探究GDF-15与失代偿期肝硬化患者多项临床终点,如1年存活、营养不良风险、衰弱状态及肌肉力量之间的关联。
本观察性研究纳入287例因急性失代偿事件住院的患者(图1)。分别采用RFH-NPT量表、CT扫描、握力/衰弱指数及CTP/MELD-Na评分评估营养不良风险、体成分、健康缺陷及基础肝病的严重程度。血清GDF-15浓度采用迈克生物检测试剂盒替代传统ELISA试剂盒[3]。
图1. 研究队列流程图
01
队列特征
本研究最终纳入287例因肝硬化相关并发症或急性失代偿事件住院的患者。GDF-15中位浓度为4.75(3.25-7.54)ng/mL,女性占比45.3%,中位年龄64(57-69)岁。疾病严重程度评估显示,CTP评分中位值为8(6-9),MELD-Na评分中位值为8.9(5.1-12.4);营养风险评估方面,RFH-NPT评分中位值为3(1-6),其中105例(42.2%)属低营养不良风险,144例(57.8%)为高风险。握力中位值为20.0(14.6-28.1)kg,按EWGSOP2、常规、JSH和AWGS2019标准判定的低握力比例分别为52.9%、57.8%、57.8%和62.7%。衰弱指数中位值为0.12,处于健壮、衰弱前期和衰弱状态者分别占28.9%、60.1%和11.0%。病因以病毒性和免疫性肝硬化为主,主要并发症为腹水和急性食管胃静脉曲张出血。
02
GDF-15与各项指标之间的关联
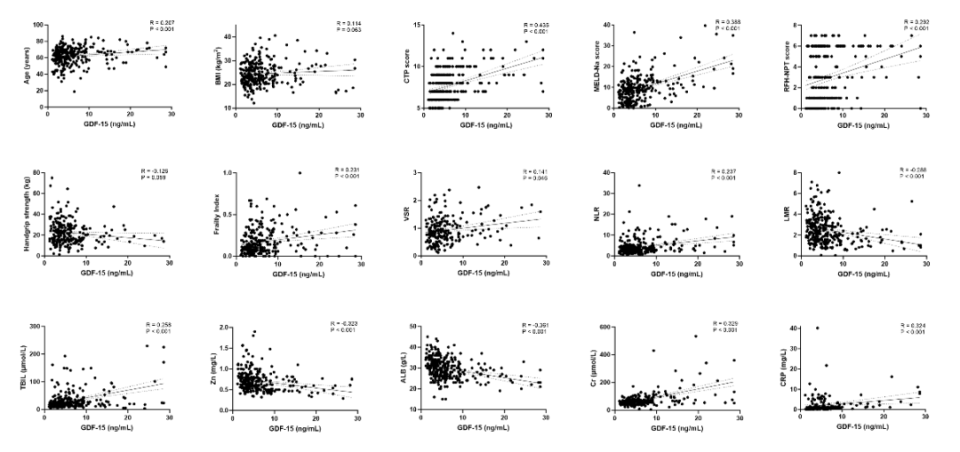
根据GDF-15三分位分组分析显示,最高分位组(Tertile 3)患者年龄更大,基础肝病更重(表现为CTP与MELD-Na评分更高),且机体免疫环境更为紊乱(NLR、LMR及CRP均升高)。此外,该组患者出现腹水和肝性脑病等并发症的发生率更高。最高三分位组的患者也表现出更高的总胆红素和肌酐水平,而锌和白蛋白水平则较低。各组间在CT测量的肌肉/脂肪面积、肝硬化病因及合并症方面未见显著差异。相关性分析显示,血清GDF-15水平与CTP、MELD-Na及RFH-NPT评分呈明显正相关,与锌和白蛋白水平呈负相关(图2)。
图2. GDF-15与多指标/参数的Spearman相关性分析
03
GDF-15与不良结局之间的关联
基于入组患者完整的随访数据,本研究探讨了血清GDF-15浓度对1年全因死亡率的影响。生存分析显示,最高GDF-15三分位组的患者预后较差(log-rank检验:P=0.005,图3A),按中位数分组后该关联仍然存在(P=0.002,图3B)。单变量Cox分析提示GDF-15升高与死亡风险增加显著相关(HR=1.10,95%CI:1.07-1.14,P<0.001)。经逐步调整不同协变量后,该关联持续存在:依次调整年龄与性别(HR=1.10,95%CI:1.06-1.14,P<0.001)、进一步纳入BMI(HR=1.10,95%CI:1.05-1.14,P<0.001)、分别调整CTP评分(HR=1.06,95%CI:1.01-1.11,P=0.022)或MELD-Na评分(HR=1.05,95%CI:1.01-1.11,P=0.042),以及最终联合RFH-NPT评分进行调整(CTP模型:HR=1.07,95%CI:1.01-1.13,P=0.013;MELD-Na模型:HR=1.06,95%CI:1.01-1.12,P=0.044)。
图3. 按照GDF-15三分位(A)和中位数(B)分组的生存曲线分析
04
血清GDF-15浓度与营养状况之间的关联
研究进一步评估了GDF-15与RFH-NPT定义营养不良风险的关联,二项logistic回归分析显示,血清GDF-15水平升高与营养不良风险增加显著相关。这一关联在未调整模型中即存在(OR=1.15,95%CI:1.07-1.24,P<0.001),并在逐步调整不同协变量后仍然保持:包括年龄与性别(OR=1.14,95%CI:1.06-1.23,P<0.001)、进一步纳入BMI(OR=1.18,95%CI:1.08-1.29,P<0.001),以及分别校正CTP评分(OR=1.16,95%CI:1.05-1.28,P=0.003)或MELD评分(OR=1.22,95%CI:1.10-1.35,P<0.001)。
05
血清GDF-15浓度与健康缺陷之间的关联
为探讨GDF-15与躯体功能的关系,本研究分析了其与握力指标的相关性。在四种不同标准下,GDF-15水平升高均与低握力风险显著相关(EWGSOP2:OR=1.11,95%CI:1.03-1.19,P=0.004;常规标准:OR=1.12,95%CI:1.04-1.21,P=0.003;JSH:OR=1.09,1.01-1.16,P=0.019;AWGS:OR=1.09,1.01-1.17,P=0.021)。此关联在调整年龄、性别和BMI后仍存在,但在进一步校正疾病负担后失去显著性。敏感性分析中,多元线性回归证实了血清GDF-15与握力值之间的关联。
在研究人群中也探讨了GDF-15与多维衰弱之间的关系。较高的GDF-15浓度预示着衰弱风险增加,这一关联在未调整模型中(OR:1.05,95%CI:1.01-1.10,P=0.030),在调整了年龄、性别和BMI后(OR:1.06,95%CI:1.01-1.11,P=0.027),或者在完全调整MELD-Na评分后(OR:1.07,95%CI:1.01-1.13,P=0.025)都存在。进一步的多元线性回归也验证了上述发现。
结 论
本研究结果表明,存在营养不良风险的失代偿期肝硬化患者中血清GDF-15显著升高,且与不良临床结局及健康缺陷密切相关,提示其有望成为评估肝硬化预后的潜在生物标志物。
本研究结果显示,急性失代偿期肝硬化患者血清GDF-15升高与长期全因死亡率升高和营养不良风险增加密切相关。同时较高的GDF-15水平预示着反映整体健康缺陷的多维衰弱风险。值得注意的是,GDF-15水平与基础肝病严重程度及营养状况具有显著相关性。这些结果支持GDF-15作为辅助肝硬化患者不良预后评估的潜在新型生物标志物。
营养不良风险的存在与基础疾病的发生、进展和加重相一致。尤其在失代偿期肝硬化患者中,反复发生的腹水、严重肝性脑病或内镜治疗等并发症和治疗手段可能进一步加剧营养失衡。这在本研究中进一步得到了证实,随着GDF-15水平升高,患者腹水与肝性脑病发生率上升,白蛋白与锌水平下降。机制上,腹水通过增高腹压、延缓肠蠕动及限制胃扩张抑制摄食;而肝性脑病则因意识障碍影响营养摄入。我们前期研究已明确锌缺乏(<0.64 mg/L)为营养不良风险的独立预测因素。锌缺乏不仅诱发厌食症状,还可伴随消化液分泌减少和由黏膜萎缩引发的肠动力失调。
此外,锌缺乏与低白蛋白血症之间存在协同效应:锌作为蛋白质合成的关键组分,其缺乏加剧代谢紊乱,而低白蛋白水平促使游离锌离子经尿排出,进一步恶化营养状态。本研究中,GDF-15最高三分位组患者锌水平最低(0.58 mg/L),且GDF-15与锌浓度呈显著负相关。最近一项针对心力衰竭伴液体超负荷患者的研究中提出,循环GDF-15水平升高可能是一种对抗肠屏障的病理变化并减少细菌易位的代偿机制,其中肝脏是循环GDF-15的主要来源,部分阐明了GDF-15与厌食和恶病质状态发生进展的复杂联系[2]。
本研究中,失代偿期肝硬化患者的循环GDF-15水平显著高于老年住院患者、慢性心血管疾病及非晚期肝病患者。值得注意的是,在胃肠道恶性肿瘤患者或伴有厌食症的患者中,其GDF-15水平与本研究的实测值接近(分别为7.46 ng/mL和7.11 ng/mL)。GDF-15水平在不同疾病背景下的差异可能与检测方法、人群特征及基础疾病严重程度有关;然而,肝硬化的异质性和高疾病负荷也对检测结果有所影响。此外,终末期肝病如慢性肝衰竭新近也被列为导致恶病质的重要相关疾病之一。
握力与衰弱指数是肝硬化患者健康缺陷的常见评估指标。本研究采用涵盖躯体功能、认知、用药与共病等多维衰弱量表进行评估,结果显示合并衰弱的急性肝硬化住院患者血清GDF-15水平显著高于非衰弱者,且在调整年龄、性别、BMI及MELD-Na评分后差异仍具统计学意义。结合既往研究,提示GDF-15或可作为临床实践中识别衰弱状态的潜在生物标志物。尽管新近证据已证实GDF-15与肌肉健康存在关联,但本研究与另一项报告均未证实此种负面影响。这可能源于本研究中接受握力检测的样本量有限,导致预测效能相对不足。此外,肌肉减少症的诊断需综合肌肉力量、肌肉含量与躯体功能等多方面指标,只考虑单一握力参数具有局限性。
参考文献:
[1] Wang D, Day EA, Townsend LK, Djordjevic D, Jorgensen SB, Steinberg GR. GDF15: emerging biology and therapeutic applications for obesity and cardiometabolic disease. Nat Rev Endocrinol 2021;17:592–607.
[2] Monzo L, Jarolim P, Borlaug BA, Benes J, Jurcova I, Jenca D, et al. Growth differentiation Factor-15 is associated with congestion-related anorexia and weight loss in advanced heart failure. JACC Heart Fail 2025;13:315–29.
[3] Zhang J, Zhang J, Wu T, Jin P, Huang C. A method of quantitative chemiluminescence immunoassay for the concentration of growth differentiation factor-15. MethodsX 2024;12:102572.
[4] Zhou Z, Liu H, Ju H, Chen H, Jin H, Sun M. Circulating GDF-15 in relation to the progression and prognosis of chronic kidney disease: a systematic review and doseresponse meta-analysis. Eur J Intern Med 2023;110:77–85.
[5] Chung YH, Jung J, Kim SH. Mortality scoring systems for liver transplant recipients: before and after model for end-stage liver disease score. Anesthesiol Pain Med 2023;18:21–8.
专家简介
孙超
西安医学院第一附属医院
毕业于北京大学医学部,天津医科大学医学/理学博士。执笔以及参与4部临床指南/专家共识的编写。
ScholarGPS学者排名近5年位于全球消化学科前2.4%,肝硬化专业前0.56%,营养专业前2.08%。
研究成果被EASL发布的临床实践指南,营养不良论著被New England Journal of Medicine(影响因子96.3)和JAMA(影响因子55)引用。
以通讯作者在Clinical Nutrition, Briefings in Bioinformatics, Liver International, Cell Death & Disease等杂志发表SCI文章近百篇,他引2000余次,h指数24。
中国营养学会高级会员,CNSLD第五届全国委员,中国人体健康科技促进会门脉高压专委会委员,天津市互联网医学科普协会肝病学专委会副主任委员。
SCI期刊JCTH编委,高起点新刊eGastroenterology首届青年编委。
彭彬彬
宁夏医科大学五年制临床医学专业,天津医科大学硕士研究生在读。以第一/共同第一作者身份发表 SCI 文章3篇。在第十七届全国营养科学大会做壁报展示。目前研究方向为新型生物标志物与肝硬化预后、营养风险的关联,以及机器学习算法在慢性肝病中的应用。
(来源:《国际肝病》编辑部)
声明:本文仅供医疗卫生专业人士了解最新医药资讯参考使用,不代表本平台观点。该信息不能以任何方式取代专业的医疗指导,也不应被视为诊疗建议,如果该信息被用于资讯以外的目的,本站及作者不承担相关责任。