国际肝病 发表时间:2025/4/8 13:44:16

编者按
慢性乙型肝炎(CHB)是全球范围内重要的公共健康问题。实现乙肝表面抗原(Hepatitis B surface antigen, HBsAg)转阴可显著降低肝硬化及肝癌的发生。现有的抗病毒药物包括:核苷(酸)类似物(NAs)和干扰素-α(IFN-α)。相比NAs,IFN-α表现出更强的降低HBsAg定量(qHBsAg)的作用。南方医科大学南方医院侯金林教授及樊蓉教授团队前期依托一项来自中国50家中心的长期随访的真实世界前瞻性队列(Search-B研究),基于纵向判别分析(LoDA)建模算法,高效利用患者随访期间的多时间点HBsAg定量数据,构建并验证了一项新型的、精准的CHB临床治愈预测模型(GOLDEN模型)。该模型能够精准预测患者在NAs治疗期间的HBsAg转阴率。但该模型在IFN-α治疗队列中的效果尚未得到验证。
3月29日,第34届亚太肝病学会年会(APASL 2025)上,南方医科大学南方医院侯金林教授及樊蓉教授团队以口头报告的形式介绍了GOLDEN模型在接受IFN-α治疗的CHB患者中预测HBsAg转阴及qHBsAg下降方面的表现。

廖星美博士代表团队作口头报告
研究背景及目的
慢性HBV感染仍是全球重大公共卫生问题,HBsAg转阴作为抗病毒治疗理想终点,可显著抑制病毒复制并降低肝硬化和肝癌风险。IFN-α与NAs作为主流抗HBV药物,前者通过双重机制(抑制病毒复制和调节宿主免疫)发挥治疗作用:既能激活自然免疫应答、增强T细胞清除感染细胞能力,又能降解HBV前基因组RNA并表观调控cccDNA,从而降低病毒蛋白表达。研究证实IFN-α单药或联合NAs治疗在实现HBsAg转阴方面优于NAs单药。
本团队此前基于NAs治疗人群建立的GOLDEN模型,可准确预测NAs治疗期间的HBsAg消失,识别8.5% ~ 10.4%的患者具有较高的HBsAg消失概率,5年累积发生率为17.0% ~ 29.1%。因此,本研究旨在验证GOLDEN模型对IFN-α治疗CHB患者HBsAg转阴或下降的预测效能。
研究方法
本研究共纳入1241例既往接受过或正在接受IFN-α治疗的CHB患者。其中200例来自在中国大陆进行的一项随机对照试验(EXCEL研究),1041例来自在中国大陆进行的一项前瞻性真实世界观察队列(Search-B队列)。基于长期随访期间收集的连续qHBsAg值,使用GOLDEN 模型计算每位患者HBsAg转阴的概率。如果患者在随访评估期间的任何一次随访实现HBsAg转阴的概率超过0.95的阈值,则将其归类为优势组(Favorable group),否则为非优势组(Unfavorable group),见图1。主要研究终点为HBsAg转阴,定义为qHBsAg在间隔至少6个月的2次随访持续<0.05 IU/mL。次要研究终点为随访结束时qHBsAg <100 IU/mL。

图1. 患者入组流程图
(源自APASL 2025会议)
研究发现
由于EXCEL研究中只有少数患者在随访结束时实现了HBsAg转阴,我们采用了qHBsAg水平<100 IU/mL作为替代终点。在EXCEL研究中(图2),GOLDEN模型可识别出41.5%(83/200)的优势组患者,预测随访结束时qHBsAg <100 IU/mL的AUC为0.820(95%CI: 0.737-0.902)。在总人群和以基线qHBsAg水平分层的亚组中,优势组中在随访结束时qHBsAg <100 IU/mL的累积发生率均显著高于非优势组。

图2. 评估GOLDEN模型在EXCEL研究中预测随访结束时qHBsAg <100 IU/mL的性能。(A)预测随访结束时qHBsAg <100 IU/mL的ROC曲线。(B)总体患者、(C)入组时qHBsAg <3000 IU/mL的患者和(D)入组时qHBsAg ≥3000 IU/mL的患者的随访结束时qHBsAg<100 IU/mL的累积发生率。AUC,曲线下面积;qHBsAg,乙肝表面抗原定量;ROC,受试者工作特征曲线。
(源自APASL 2025会议)
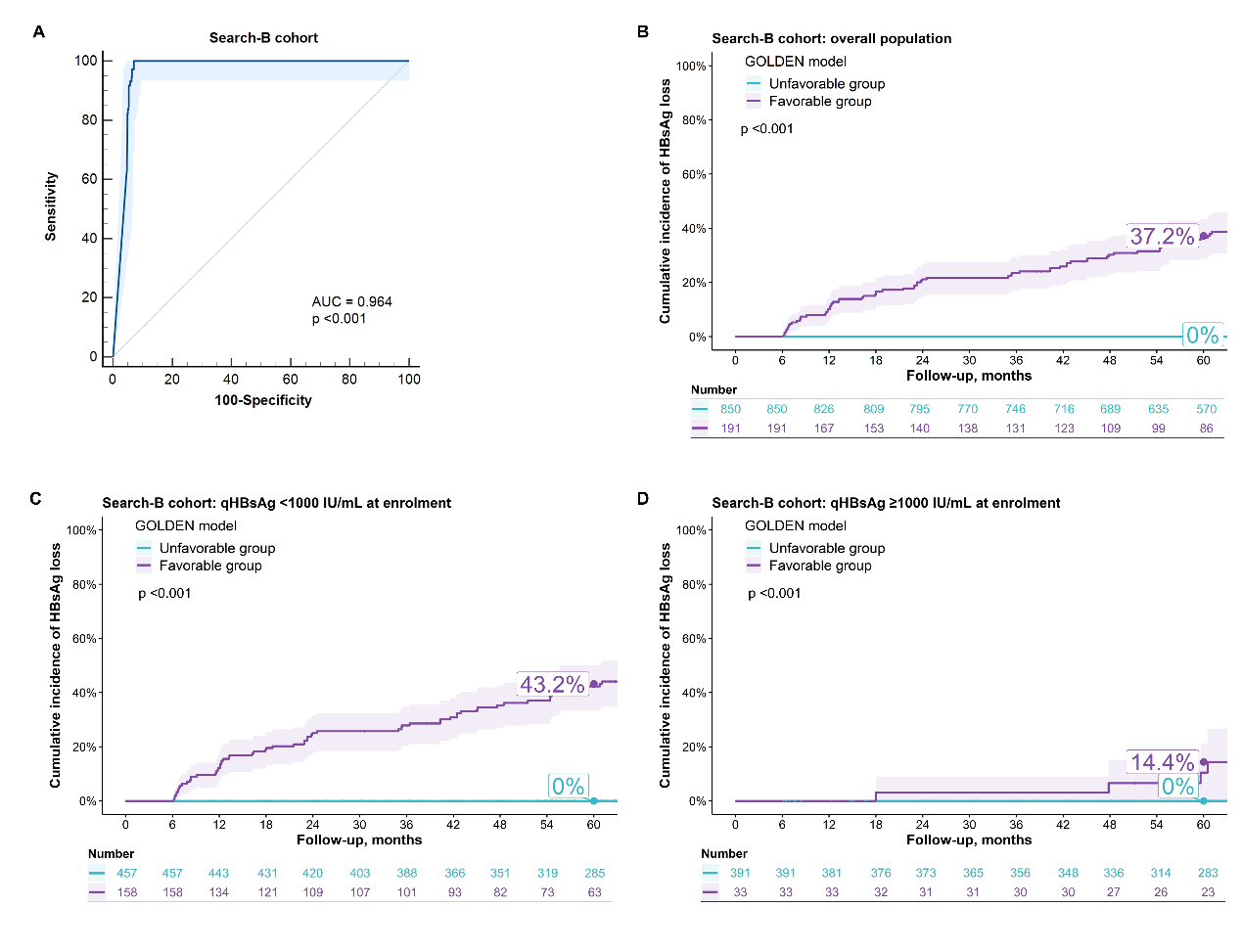
在Search-B队列中,GOLDEN模型可识别出18.3%(191/1041)的优势组患者,预测HBsAg转阴的AUC为0.964(95%CI:0.953-0.974),见图3。在总人群和以基线qHBsAg水平分层的亚组中,优势组中在HBsAg转阴的累积发生率均显著高于非优势组。

图3. 评估GOLDEN模型在Search-B队列中预测HBsAg转阴的性能。(A)预测随访期间HBsAg转阴的ROC曲线。(B)总体患者、(C)入组时qHBsAg <1000 IU/mL的患者和(D)入组时qHBsAg ≥1000 IU/mL的患者随访期间HBsAg转阴的累积发生率。AUC,曲线下面积;qHBsAg,乙肝表面抗原定量;ROC,受试者工作特征曲线。
(源自APASL 2025会议)
研究结论
GOLDEN模型是一个可靠稳健的HBsAg转阴预测工具,可用于在接受IFN-α治疗的CHB患者中预测HBsAg转阴或qHBsAg下降,为临床医生为CHB患者制定个性化、有效的管理策略提供了宝贵的帮助。
(来源:《国际肝病》编辑部)

声明:本文仅供医疗卫生专业人士了解最新医药资讯参考使用,不代表本平台观点。该信息不能以任何方式取代专业的医疗指导,也不应被视为诊疗建议,如果该信息被用于资讯以外的目的,本站及作者不承担相关责任。